星霜:星霜
星霜:登场年龄为12岁
星霜:武魂:星芒
星霜:
星霜:
星霜:
星霜:
星霜:神位:星光女神
星霜:二级神祇
云思染:云思染
云思染:女
云思染:登场年龄12岁
云思染:武魂:时间之枪
云思染:
云思染:
云思染:
云思染:神位:时间之神
云思染:二级神祇
安诺溪:安诺溪
安诺溪:女
安诺溪:登场年龄13岁
安诺溪:武魂:时间之剑
安诺溪:
安诺溪:
安诺溪:
安诺溪:神位:时间掌管者
安诺溪:神王
江凌儿:江凌儿
江凌儿:女
江凌儿:登场年龄12岁
江凌儿:武魂:云樱扇
江凌儿:
江凌儿:
江凌儿:神位:樱花女神
江凌儿:二级神祇
冻梦瞳:冻梦瞳
冻梦瞳:女
冻梦瞳:登场年龄13岁
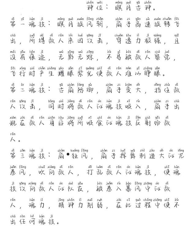
冻梦瞳:武魂:暝月神扇
冻梦瞳:
冻梦瞳:
冻梦瞳:
冻梦瞳:神位:暝月古神
冻梦瞳:神王
冬落之再次抉择提示您:看后求收藏(同创文学网http://www.tcwxx.com),接着再看更方便。